Европейская команда астрономов под руководством Оскара Баррагана (Oscar Barragán) из Туринского университета, Италия, сообщает об открытии внесолнечной планеты класса теплых юпитеров, имеющей относительно небольшую массу и движущейся по орбите вокруг близлежащей звезды главной последовательности спектрального класса К. 
Эта новая планета была впервые обнаружена при помощи космического телескопа НАСА «Кеплер» (Kepler) в рамках его расширенной миссии, известной как К2.
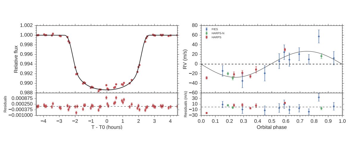
В ходе кампании №7 миссии К2, продолжавшейся между 4 октября и 26 декабря 2015 г., был получен транзитный сигнал, связанный со звездой EPIC 218916923.
Эта звезда представляет собой активную звезду спектрального класса K0 V, расположенную на расстоянии примерно 500 световых лет от нас.
В дальнейшем планетная природа объекта была подтверждена при помощи нескольких различных наземных телескопов.
Астрономы смогли выяснить основные параметры обнаруженной планеты. Так, согласно исследованию, радиус планеты EPIC 218916923b составляет примерно 0,81 массы Юпитера, однако при этом масса планеты эквивалентна всего лишь 38 процентам массы крупнейшей планеты Солнечной системы.
Исследователи также оценили, что планета обращается вокруг родительской звезды с периодом примерно 29 суток и имеет плотность, примерно на 12 процентов меньшую, по сравнению с плотностью Юпитера.
Согласно исследователям планета имеет плотное ядро массой примерно в 48 масс Земли, окруженное газовой оболочкой.
Исходя из полученных значений параметров планеты EPIC 218916923b, команда Баррагана классифицировала её как теплый юпитер, класс гигантских газовых планет, промежуточный между так называемыми горячими юпитерами, имеющими орбитальный период менее 10 суток, и близкими аналогами Юпитера, характеризующимися орбитальными периодами свыше 100 суток.