Исправлять ошибки труднее, чем их детектировать или предотвращать. Процедура коррекции ошибок предполагает два совмещенные процесса: обнаружение ошибки и определение места (идентификация сообщения и позиции в сообщении). После решения этих двух задач, исправление тривиально – надо инвертировать значение ошибочного бита. В наземных каналах связи, где вероятность ошибки невелика, обычно используется метод детектирования ошибок и повторной пересылки фрагмента, содержащего дефект. Для спутниковых каналов с типичными для них большими задержками системы коррекции ошибок становятся привлекательными. Здесь используют коды Хэмминга или коды свертки.
Код Хэмминга представляет собой блочный код, который позволяет выявить и исправить ошибочно переданный бит в пределах переданного блока. Обычно код Хэмминга характеризуется двумя целыми числами, например, (11,7) используемый при передаче 7-битных ASCII-кодов. Такая запись говорит, что при передаче 7-битного кода используется 4 контрольных бита (7+4=11). При этом предполагается, что имела место ошибка в одном бите и что ошибка в двух или более битах существенно менее вероятна. С учетом этого исправление ошибки осуществляется с определенной вероятностью. Например, пусть возможны следующие правильные коды (все они, кроме первого и последнего, отстоят друг от друга на расстояние 4):
00000000
11110000
00001111
11111111
При получении кода 00000111 не трудно предположить, что правильное значение полученного кода равно 00001111. Другие коды отстоят от полученного на большее расстояние Хэмминга.
Рассмотрим пример передачи кода буквы s = 0x073 = 1110011 с использованием кода Хэмминга (11,7).
| Позиция бита: | 11 | 10 | 9 | 8 | 7 | 6 | 5 | 4 | 3 | 2 | 1 |
| Значение бита: | 1 | 1 | 1 | * | 0 | 0 | 1 | * | 1 | * | * |
Символами * помечены четыре позиции, где должны размещаться контрольные биты. Эти позиции определяются целой степенью 2 (1, 2, 4, 8 и т.д.). Контрольная сумма формируется путем выполнения операции XOR (исключающее ИЛИ) над кодами позиций ненулевых битов. В данном случае это 11, 10, 9, 5 и 3. Вычислим контрольную сумму:
| 11 = | 1011 |
| 10 = | 1010 |
| 09 = | 1001 |
| 05 = | 0101 |
| 03 = | 0011 |
|
s = |
1110 |
Таким образом, приемник получит код:
| Позиция бита: | 11 | 10 | 9 | 8 | 7 | 6 | 5 | 4 | 3 | 2 | 1 |
| Значение бита: | 1 | 1 | 1 | 1 | 0 | 0 | 1 | 1 | 1 | 1 | 0 |
Просуммируем снова коды позиций ненулевых битов и получим нуль.
| 11 = | 1011 |
| 10 = | 1010 |
| 09 = | 1001 |
| 08 = | 1000 |
| 05 = | 0101 |
| 04 = | 0100 |
| 03 = | 0011 |
| 02 = | 0010 |
|
s = |
0000 |
Ну а теперь рассмотрим два случая ошибок в одном из битов посылки, например, в бите 7 (1 вместо 0) и в бите 5 (0 вместо 1). Просуммируем коды позиций ненулевых бит еще раз.
|
|
||||||||||||||||||||||||||||||||||||||||||||||||||||||
В обоих случаях контрольная сумма равна позиции бита, переданного с ошибкой. Теперь для исправления ошибки достаточно инвертировать бит, номер которого указан в контрольной сумме. Понятно, что если ошибка произойдет при передаче более чем одного бита, код Хэмминга при данной избыточности окажется бесполезен.
В общем случае код имеет N=M+C бит и предполагается, что не более чем один бит в коде может иметь ошибку. Тогда возможно N+1 состояние кода (правильное состояние и n ошибочных). Пусть М=4, а N=7, тогда слово-сообщение будет иметь вид: M4, M3, M2, C3, M1, C2, C1. Теперь попытаемся вычислить значения С1, С2, С3. Для этого используются уравнения, где все операции представляют собой сложение по модулю 2:
С1 = М1 + М2 + М4
С2 = М1 + М3 + М4
С3 = М2 + М3 + М4
Для определения того, доставлено ли сообщение без ошибок, вычисляем следующие выражения (сложение по модулю 2):
С11 = С1 + М4 + М2 + М1
С12 = С2 + М4 + М3 + М1
С13 = С3 + М4 + М3 + М2
Результат вычисления интерпретируется следующим образом.
| С11 | С12 | С13 | Значение |
| 1 | 2 | 4 | Позиция бит |
| 0 | 0 | 0 | Ошибок нет |
| 0 | 0 | 1 | Бит С3 не верен |
| 0 | 1 | 0 | Бит С2 не верен |
| 0 | 1 | 1 | Бит М3 не верен |
| 1 | 0 | 0 | Бит С1 не верен |
| 1 | 0 | 1 | Бит М2 не верен |
| 1 | 1 | 0 | Бит М1 не верен |
| 1 | 1 | 1 | Бит М4 не верен |
Описанная схема легко переносится на любое число n и М.
Число возможных кодовых комбинаций М помехоустойчивого кода делится на n классов, где N – число разрешенных кодов. Разделение на классы осуществляется так, чтобы в каждый класс вошел один разрешенный код и ближайшие к нему (по расстоянию Хэмминга) запрещенные коды. В процессе приема данных определяется, к какому классу принадлежит пришедший код. Если код принят с ошибкой, он заменяется ближайшим разрешенным кодом. При этом предполагается, что кратность ошибки не более qm.
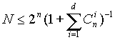
Можно доказать, что для исправления ошибок с кратностью не более qmm (как правило, оно выбирается равным D = 2qm +1). В теории кодирования существуют следующие оценки максимального числа N n-разрядных кодов с расстоянием D.
| d=1 | n=2n |
| d=2 | n=2n-1 |
| d=3 |
n 2n /(1+n) |
| d=2q+1 |
|
В случае кода Хэмминга первые k разрядов используются в качестве информационных, причем
k= n – log(n+1),
откуда следует (логарифм по основанию 2), что k может принимать значения 0, 1, 4, 11, 26, 57 и т.д., это и определяет соответствующие коды Хэмминга (3,1); (7,4); (15,11); (31,26); (63,57) и т.д.
Циклические коды
Обобщением кодов Хэмминга являются циклические коды BCH (Bose-Chadhuri-Hocquenghem). Это коды с широким выбором длины и возможностей исправления ошибок. Циклические коды характеризуются полиномом g(x) степени n-k, g(x) = 1 + g1x + g2x2 + … + xn-k. g(x) называется порождающим многочленом циклического кода. Если многочлен g(x) n-k и является делителем многочлена xn + 1, то код C(g(x)) является линейным циклическим (n,k)-кодом. Число циклических n-разрядных кодов равно числу делителей многочлена xn + 1.
При кодировании слова все кодовые слова кратны g(x). g(x) определяется на основе сомножителей полинома xn +1 как:
xn +1 = g(x)h(x)
Например, если n=7 (x7+1), его сомножители (1 + x + x3)(1 + x + x2 + x4), а g(x) = 1+x + x3.
Чтобы представить сообщение h(x) в виде циклического кода, в котором можно указать постоянные места проверочных и информационных символов, нужно разделить многочлен xn-kh(x) на g(x) и прибавить остаток от деления к многочлену xn-kh(x). См. Л.Ф. Куликовский и В.В. Мотов, “Теоретические основы информационных процессов”. Москва “Высшая школа” 1987. Привлекательность циклических кодов заключается в простоте аппаратной реализации с использованием сдвиговых регистров.
Пусть общее число бит в блоке равно N, из них полезную информацию несут в себе K бит, тогда в случае ошибки, имеется возможность исправить m бит. Таблица 2.8.1 содержит зависимость m от N и K для кодов ВСН.
Таблица 2.8.1
| Общее число бит N | Число полезных бит М | Число исправляемых бит m |
| 31 | 26 | 1 |
| 21 | 2 | |
| 16 | 3 | |
| 63 | 57 | 1 |
| 51 | 2 | |
| 45 | 3 | |
| 127 | 120 | 1 |
| 113 | 2 | |
| 106 | 3 |
Увеличивая разность N-M, можно не только нарастить число исправляемых бит m, но открыть возможность обнаружить множественные ошибки. В таблице 2.8.2 приведен процент обнаруживаемых множественных ошибок в зависимости от M и N-M.
Таблица 2.8.2
| Число полезных бит М | Число избыточных бит (n-m) | ||
| 6 | 7 | 8 | |
| 32 | 48% | 74% | 89% |
| 40 | 36% | 68% | 84% |
| 48 | 23% | 62% | 81% |
Другой блочный метод предполагает “продольное и поперечное” контрольное суммирование предаваемого блока. Блок при этом представляется в виде N строк и M столбцов. Вычисляется биты четности для всех строк и всех столбцов, в результате получается два кода, соответственно длиной N и M бит. На принимающей стороне биты четности для строк и столбцов вычисляются повторно и сравниваются с присланными. При выявлении отличия в бите i кода битов четности строк и бите j – кода столбцов, позиция неверного бита оказывается определенной (i,j). Понятно, что если выявится два и более неверных битов в контрольных кодах строк и столбцов, задача коррекции становится неразрешимой. Уязвим этот метод и для двойных ошибок, когда сбой был, а контрольные коды остались корректными.
Применение кодов свертки позволяют уменьшить вероятность ошибок при обмене, даже если число ошибок при передаче блока данных больше 1.
Линейные блочные коды
Блочный код определяется, как набор возможных кодов, который получается из последовательности бит, составляющих сообщение. Например, если мы имеем К бит, то имеется 2К возможных сообщений и такое же число кодов, которые могут быть получены из этих сообщений. Набор этих кодов представляет собой блочный код. Линейные коды получаются в результате перемножения сообщения М на порождающую матрицу G[IA]. Каждой порождающей матрице ставится в соответствие матрица проверки четности (n-k)*n. Эта матрица позволяет исправлять ошибки в полученных сообщениях путем вычисления синдрома. Матрица проверки четности находится из матрицы идентичности i и транспонированной матрицы А. G[IA] ==> H[ATI].
| I | A |
AT |
Если
, то H[ATI] = 
Синдром полученного сообщения равен
S = [полученное сообщение]. [матрица проверки четности].
Если синдром содержит нули, ошибок нет, в противном случае сообщение доставлено с ошибкой. Если сообщение М соответствует М=2k, а k =3 высота матрицы, то можно записать восемь кодов:
| Сообщения | Кодовые вектора | Вычисленные как |
| M1 = 000 | V1 = 000000 | M1.G |
| M2 = 001 | V2 = 001101 | M2.G |
| M3 = 010 | V3 = 010011 | M3. G |
| M4 = 100 | V4 = 100110 | M4. G |
| M5 = 011 | V5 = 011110 | M5.G |
| M6 = 101 | V6 = 101011 | M6 .G |
| M7 = 110 | V7 = 110101 | M7 .G |
| M8 = 111 | V8 = 111000 | M8 .G |
Кодовые векторы для этих сообщений приведены во второй колонке. На основе этой информации генерируется таблица 2.8.3, которая называется стандартным массивом. Стандартный массив использует кодовые слова и добавляет к ним биты ошибок, чтобы получить неверные кодовые слова.
Таблица 2.8.3. Стандартный массив для кодов (6,3)
| 000000 | 001101 | 010011 | 100110 | 011110 | 101011 | 110101 | 111000 |
| 000001 | 001100 | 010010 | 100111 | 011111 | 101010 | 110100 | 111001 |
| 000010 | 001111 | 010001 | 100100 | 011100 | 101001 | 110111 | 111010 |
| 000100 | 001001 | 010111 | 100010 | 011010 | 101111 | 110001 | 111100 |
| 001000 | 000101 | 011011 | 101110 | 010110 | 100011 | 111101 | 110000 |
| 010000 | 011101 | 000011 | 110110 | 001110 | 111011 | 100101 | 101000 |
| 100000 | 101101 | 110011 | 000110 | 111110 | 001011 | 010101 | 011000 |
| 001001 | 000100 | 011010 | 101111 | 010111 | 100010 | 111100 | 011001 |
Предположим, что верхняя строка таблицы содержит истинные значения переданных кодов. Из таблицы 2.8.3 видно, что, если ошибки случаются в позициях, соответствующих битам кодов из левой колонки, можно определить истинное значение полученного кода. Для этого достаточно полученный код сложить с кодом в левой колонке посредством операции XOR.
Синдром равен произведению левой колонки (CL “coset leader”) стандартного массива на транспонированную матрицу контроля четности HT.
|
Синдром = CL . HT |
Левая колонка стандартного массива |
| 000 | 000000 |
| 001 | 000001 |
| 010 | 000010 |
| 100 | 000100 |
| 110 | 001000 |
| 101 | 010000 |
| 011 | 100000 |
| 111 | 001001 |
Чтобы преобразовать полученный код в правильный, нужно умножить полученный код на транспонированную матрицу проверки четности, с тем чтобы получить синдром. Полученное значение левой колонки стандартного массива добавляется (XOR!) к полученному коду, чтобы получить его истинное значение. Например, если мы получили 001100, умножаем этот код на HT:

этот результат указывает на место ошибки, истинное значение кода получается в результате операции XOR:
под горизонтальной чертой записано истинное значение кода.
Смотри также www.cs.ucl.ac.uk/staff/S.Bhatti/D51-notes/node33.html (Saleem Bhatti).
Взято с citforum.ru
(для кода Хэмминга это неравенство превращается в равенство)